της Σμαράγδας Μουλιάτη
Το Δημοτικό συμβούλιο αποδέχτηκε την απόφαση της Δημ. Επιτροπής για μη αύξηση ανταποδοτικών και άλλων τελών στους πολίτες για το 2026. παρά το μεγάλο έλλειμμα των 627.535 ευρω
Για δε τον υπολογισμό της αποχέτευσης που κανονικά όπως σε όλη την Ελλάδα έπρεπε να γίνεται βάση της κατανάλωσης νερού, αλλά γινότανε βάσει των τετραγωνικών μέτρων της ιδιοκτησίας, η δημοτική επιτροπή πρότεινε και αποδέχτηκε το Δημ. Συμβούλιο. : “Λόγω ιδιαιτερότητας του αποχετευτικού δικτύου του Νησιού και το γεγονός ότι σε οικισμούς και περιοχές του Δήμου μας δεν υπάρχει δημοτικό αποχετευτικό δίκτυο, να παραμείνει ως έχει τα προηγούμενη έτη η χρέωση βάσει των τετραγωνικών μέτρων των κτισμάτων και το 2026
Ψήφισαν ομόφωνα περί μη αναπροσαρμογής τελών ύδρευσης και αποχέτευσης για το έτος 2026 παρά την εισήγηση της οικονομικής υπηρεσίας για αύξηση στην τελών Ύδρευσης-Άρδευσης-Αποχέτευσης:
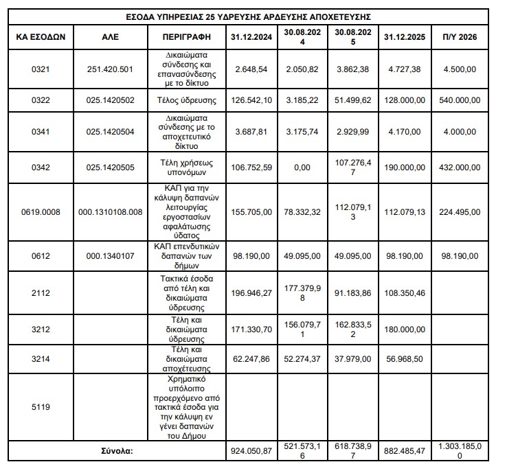
Αναφέρει στην εισήγηση της η οικονομική υπηρεσία “Έλλειμμα στην ισοσκέλιση Ύδρευσης-Άρδευσης-Αποχέτευσης: – 627.535,00 ευρώ (φωτό) Λόγω του υψηλού κόστους παραγωγής ύδατος από τις αφαλατώσεις (0,69 ευρώ συν το κόστος ενέργειας για τις ιδιόκτητες μονάδες και έως 2,00 ευρώ για την μισθωμένη), την προμήθεια νέας μονάδας αφαλάτωσης στον Κάμπο ,την επισκευή, συντήρηση και την λειτουργία του Ε.Ε.Λ καθώς και του υψηλού κόστους επισκευής και συντήρησης του παλαιωμένου δικτύου ύδρευσης για να ισοσκελιστεί η Υπηρεσία, προτείνει αλλαγές και αυξήσεις” :


Η υπηρεσία πρότεινε τον περιορισμό του ελλείμματος σε 295.535 euro με αύξηση ως παρακάτω :


Στην παραπάνω περίπτωση μόνο ο κ. Παντελής Γρύλλης ψήφισε να εφαρμοστεί η πρόταση της υπηρεσίας λόγω του υψηλού ελλείμματος















